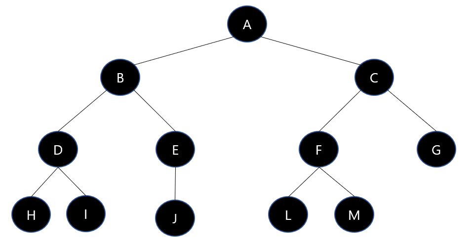
1. 트리[Tree] 란?
- computer science에서 계층구조(hierarchical structure)를 가진 추상자료형
- 트리는 노드로 구성되어 있는데, 노드들은 부모-자식 (parent-child)관계를 가진다.
- 직장에서 부장-과장(1,2,3)-(대리1,2,3,4,5,6) 이 업무연관성에 따라 그려진 조직도를 떠올려보면 좋다.
- File System, Programming enviroment 등에서 사용된다.

2. 용어(Terminology)
- Root (node) : parent가 없는 노드
- Internal node : 적어도(at least) 자식을 하나이상 가지는 노드
- External node : 자식이 없는 노드
- Ancestors of a node(a) : node(a)의 parent,grand parent, grand-grandparent........etc
- Depth of a node(a) : number of ancestors (조상노드의 수)
- Height of a tree(a) : maximum depth of any node (가장 큰 깊이를 가진 노드의 깊이가 트리의 높이)
- Descendant of a node : child, grandchild, ..... etc
3. Method
-기본적인 methods
-(1) Generic methods
- int size()
- bool empty()
-(2) Accessor methods
- position root()
- listh<position> positions()
-(3) Position-based methods
- position parent()
- list<position> children
-(4) Query methods
- bool isRoot()
- bool isExternal()
4. 탐색(순회)
- 트리 자료구조를 탐색하는 방법은 많지만 여기서는 기본적인 2개만 다루겠다.
-(1) 전위순회
- descendants들을 방문하기 전에 자신의 노드부터 방문처리 하는 것이다.


-(2) 후위순회
- descendants를 먼저 방문하고 자신을 마지막에 방문처리하는 것이다.


'학부생 공부 > 자료구조' 카테고리의 다른 글
| 배열(Array) 와 연결리스트(Linked List) 비교 (0) | 2020.12.15 |
|---|---|
| 그래프 (Graph) (0) | 2020.05.03 |
| 벡터(Vector) (0) | 2020.02.15 |
| 큐(queue) (0) | 2020.02.14 |
| 스택 (Stack) (0) | 2020.02.13 |